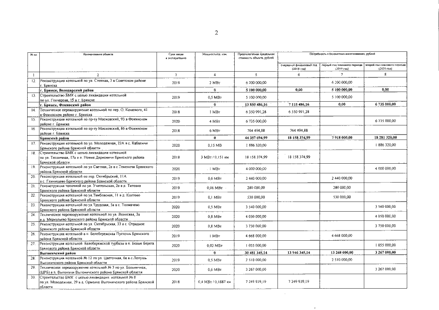
Постановление Правительства Брянской области от 01.10.2018 № 501-п
"О внесении изменений в перечень объектов государственной собственности Брянской области, по которым принимается решение о предоставлении субсидии из областного бюджета ГУП "Брянсккоммунэнерго" на осуществление капитальных вложений"
"О внесении изменений в перечень объектов государственной собственности Брянской области, по которым принимается решение о предоставлении субсидии из областного бюджета ГУП "Брянсккоммунэнерго" на осуществление капитальных вложений"
Номер опубликования: 3200201810040008
Дата опубликования:
04.10.2018
