Официальное опубликование правовых актов
ОФИЦИАЛЬНОЕ ОПУБЛИКОВАНИЕ
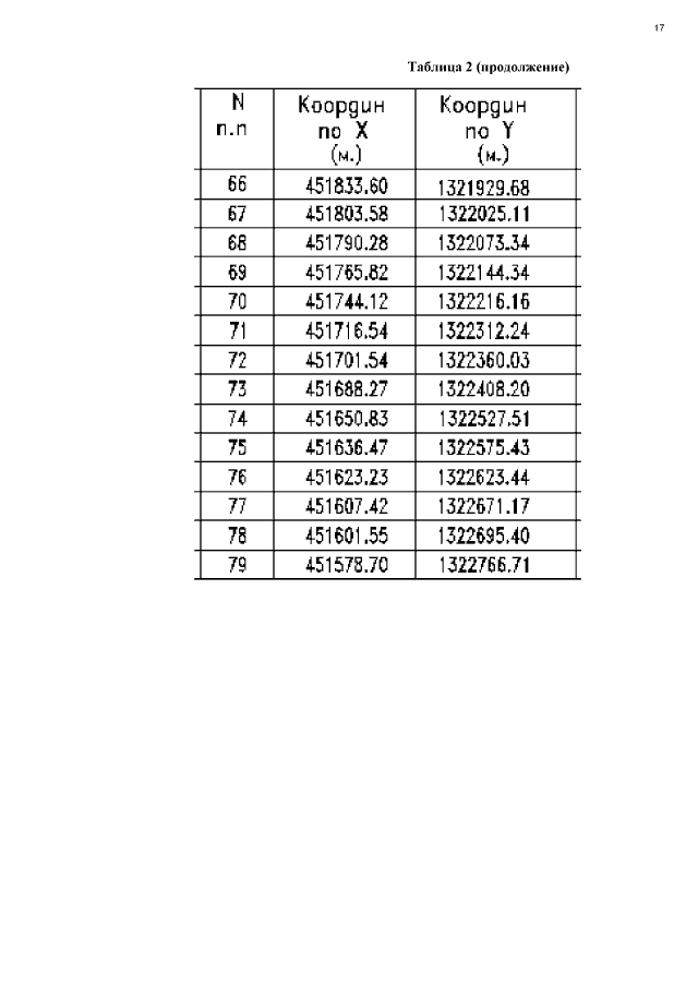
Постановление Правительства Брянской области от 27.09.2018 № 494-п
"Об утверждении проекта планировки территории, содержащего проект межевания территории, на реконструкцию автомобильной дороги Витовка — Первомайское — Поповка на участке км 1+200 — км 6+100 в Почепском районе Брянской области"
Номер опубликования: 3200201810010002
Дата опубликования: 01.10.2018
Страница №18 из 140:
Увеличить