Постановление Правительства Брянской области от 23.04.2018 № 207-п
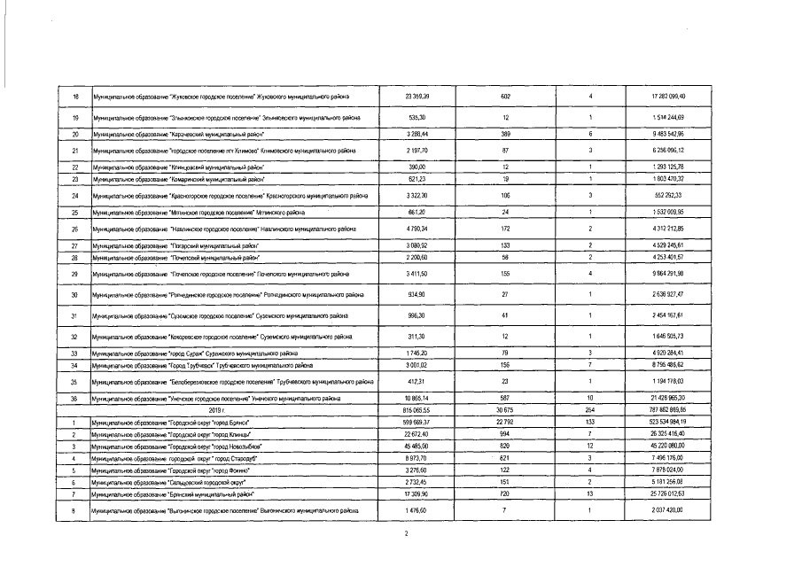
"О внесении изменений в краткосрочный (2017 - 2019 годы) план реализации региональной программы "Проведение капитального ремонта общего имущества многоквартирных домов на территории Брянской области" (2014 - 2043 годы)"
"О внесении изменений в краткосрочный (2017 - 2019 годы) план реализации региональной программы "Проведение капитального ремонта общего имущества многоквартирных домов на территории Брянской области" (2014 - 2043 годы)"
Номер опубликования: 3200201804280009
Дата опубликования:
28.04.2018
