Постановление Правительства Брянской области от 09.04.2018 № 174-п
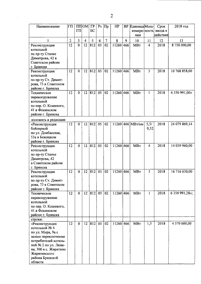
"О внесении изменений в перечень объектов бюджетных инвестиций государственной собственности региональной адресной инвестиционной программы на 2018 год"
"О внесении изменений в перечень объектов бюджетных инвестиций государственной собственности региональной адресной инвестиционной программы на 2018 год"
Номер опубликования: 3200201804110008
Дата опубликования:
11.04.2018
