Официальное опубликование правовых актов
ОФИЦИАЛЬНОЕ ОПУБЛИКОВАНИЕ
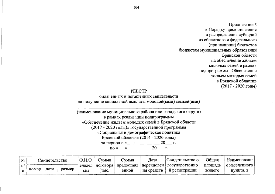
Постановление Правительства Брянской области от 28.12.2017 № 756-п
"О внесении изменений в государственную программу "Социальная и демографическая политика Брянской области" (2014 - 2020 годы)"
Номер опубликования: 3200201801040005
Дата опубликования: 04.01.2018
Страница №106 из 221:
Увеличить