Официальное опубликование правовых актов
ОФИЦИАЛЬНОЕ ОПУБЛИКОВАНИЕ
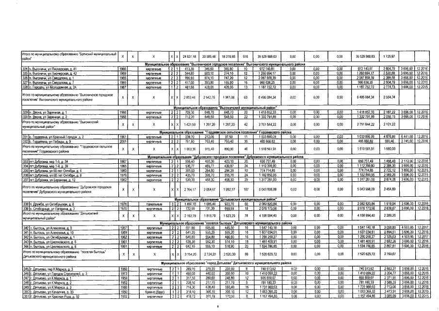
Постановление Правительства Брянской области от 25.12.2017 № 704-п
"О внесении изменений в краткосрочный (2015 год) план реализации региональной программы "Проведение капитального ремонта общего имущества многоквартирных домов на территории Брянской области" (2014 - 2043 годы)"
Номер опубликования: 3200201712280035
Дата опубликования: 28.12.2017
Страница №10 из 31:
Увеличить