Официальное опубликование правовых актов
ОФИЦИАЛЬНОЕ ОПУБЛИКОВАНИЕ
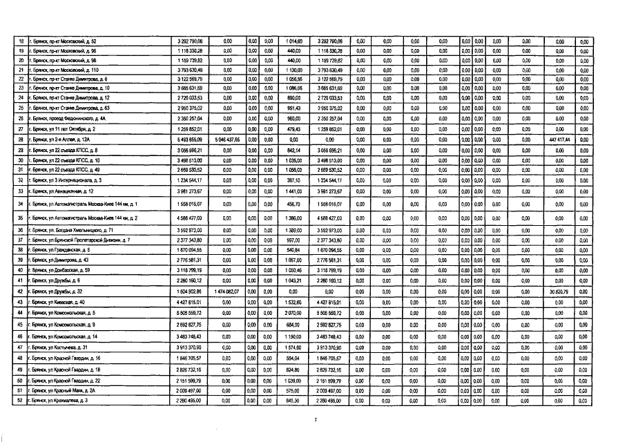
Постановление Правительства Брянской области от 25.12.2017 № 684-п
"О внесении изменений в краткосрочный (2016 год) план реализации региональной программы "Проведение капитального ремонта общего имущества многоквартирных домов на территории Брянской области" (2014 - 2043 годы)"
Номер опубликования: 3200201712260003
Дата опубликования: 26.12.2017
Страница №15 из 28:
Увеличить