Официальное опубликование правовых актов
ОФИЦИАЛЬНОЕ ОПУБЛИКОВАНИЕ
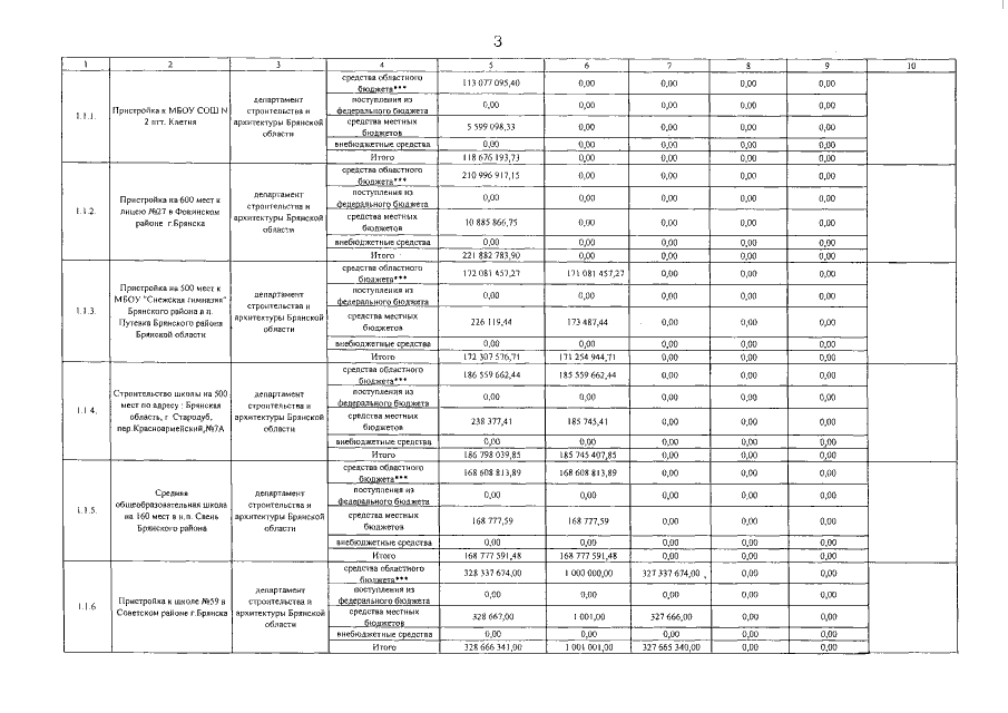
Постановление Правительства Брянской области от 20.11.2017 № 574-п
"О внесении изменений в государственную программу "Создание новых мест в общеобразовательных организациях Брянской области в соответствии с прогнозируемой потребностью и современными условиями обучения" (2016 - 2025 годы)"
Номер опубликования: 3200201711240001
Дата опубликования: 24.11.2017
Страница №6 из 21:
Увеличить