Официальное опубликование правовых актов
ОФИЦИАЛЬНОЕ ОПУБЛИКОВАНИЕ
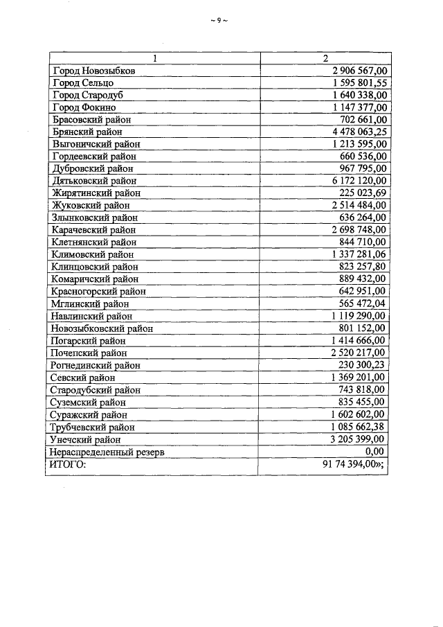
Закон Брянской области от 29.09.2017 № 69-З
"О внесении изменений в Закон Брянской области "Об областном бюджете на 2017 год и на плановый период 2018 и 2019 годов"
Номер опубликования: 3200201709290001
Дата опубликования: 29.09.2017
Страница №9 из 184:
Увеличить