Официальное опубликование правовых актов
ОФИЦИАЛЬНОЕ ОПУБЛИКОВАНИЕ
Постановление Правительства Брянской области от 24.04.2017 № 178-п
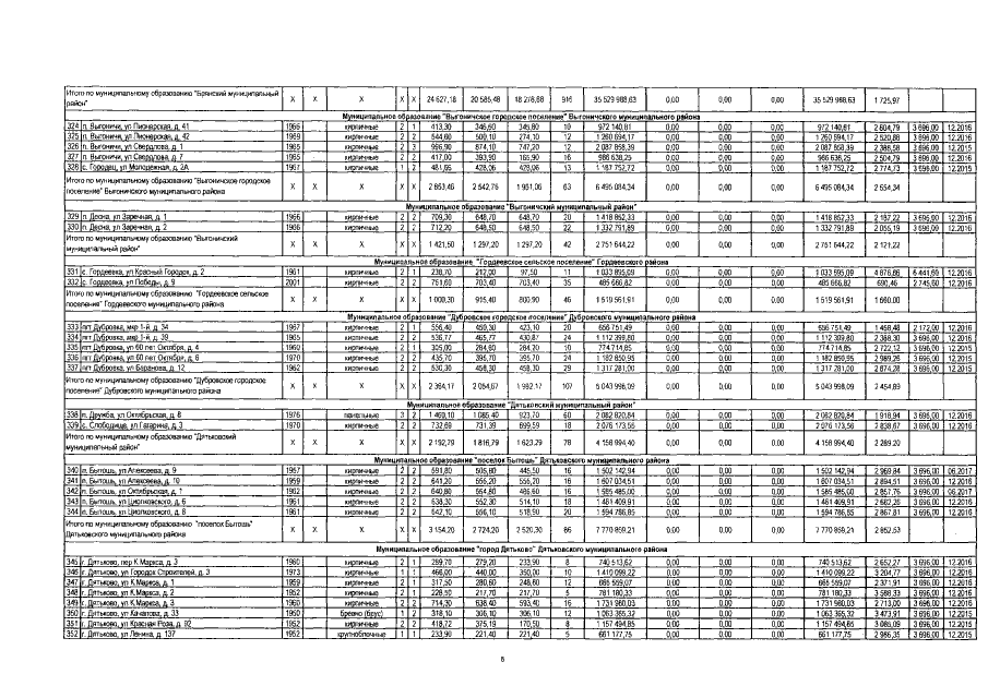
"О внесении изменений в краткосрочный (2015 год) план реализации региональной программы "Проведение капитального ремонта общего имущества многоквартирных домов на территории Брянской области" (2014 - 2043 годы)"
Номер опубликования: 3200201704280014
Дата опубликования: 28.04.2017
Страница №10 из 32:
Увеличить