Официальное опубликование правовых актов
ОФИЦИАЛЬНОЕ ОПУБЛИКОВАНИЕ
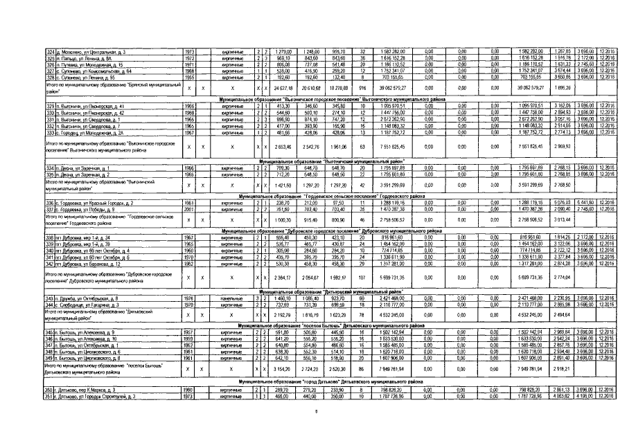
Постановление Правительства Брянской области от 20.06.2016 № 321-п
"О внесении изменений в краткосрочный (2015 год) план реализации региональной программы "Проведение капитального ремонта общего имущества многоквартирных домов на территории Брянской области" (2014 - 2043 годы)"
Номер опубликования: 3200201606230001
Дата опубликования: 23.06.2016
Страница №10 из 31:
Увеличить