Официальное опубликование правовых актов
ОФИЦИАЛЬНОЕ ОПУБЛИКОВАНИЕ
Постановление Правительства Брянской области от 19.02.2016 № 111-п
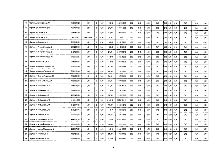
"О внесении изменений в постановление Правительства Брянской области от 9 февраля 2016 года № 78-п "Об утверждении краткосрочного (2016 год) плана реализации региональной программы "Проведение капитального ремонта общего имущества многоквартирных домов на территории Брянской области" (2014 - 2043 годы)"
Номер опубликования: 3200201602200007
Дата опубликования: 20.02.2016
Страница №17 из 32:
Увеличить