Официальное опубликование правовых актов
ОФИЦИАЛЬНОЕ ОПУБЛИКОВАНИЕ
Постановление Правительства Брянской области от 09.02.2016 № 79-п
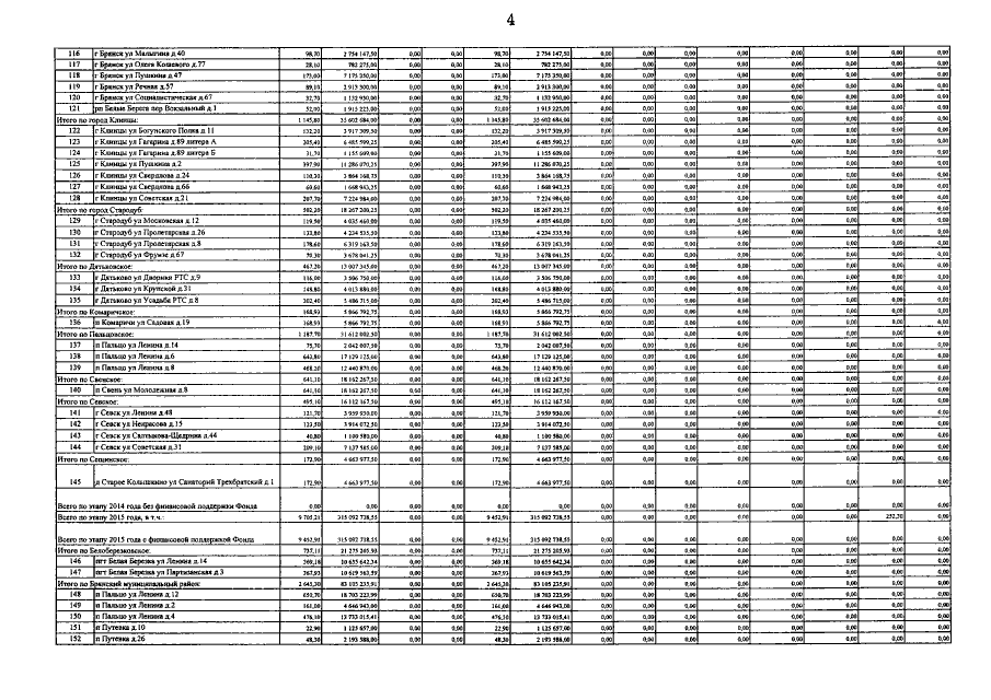
"О внесении изменений в постановление Правительства Брянской области от 6 мая 2013 года № 97-п "Об утверждении региональной адресной программы "Переселение граждан из аварийного жилищного фонда на территории Брянской области" (2013 - 2017 годы)"
Номер опубликования: 3200201602110001
Дата опубликования: 11.02.2016
Страница №24 из 27:
Увеличить