Официальное опубликование правовых актов
ОФИЦИАЛЬНОЕ ОПУБЛИКОВАНИЕ
Постановление Правительства Брянской области от 25.12.2015 № 716-п
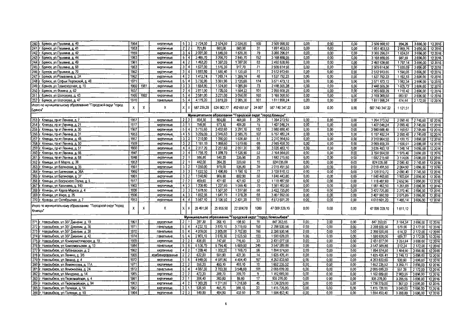
"О внесении изменений в постановление Правительства Брянской области от 5 июня 2015 года № 260-п "Об утверждении краткосрочного (2015 год) плана реализации региональной программы "Проведение капитального ремонта общего имущества многоквартирных домов на территории Брянской области" (2014-2043 годы)"
Номер опубликования: 3200201512280003
Дата опубликования: 28.12.2015
Страница №8 из 31:
Увеличить