Официальное опубликование правовых актов
ОФИЦИАЛЬНОЕ ОПУБЛИКОВАНИЕ
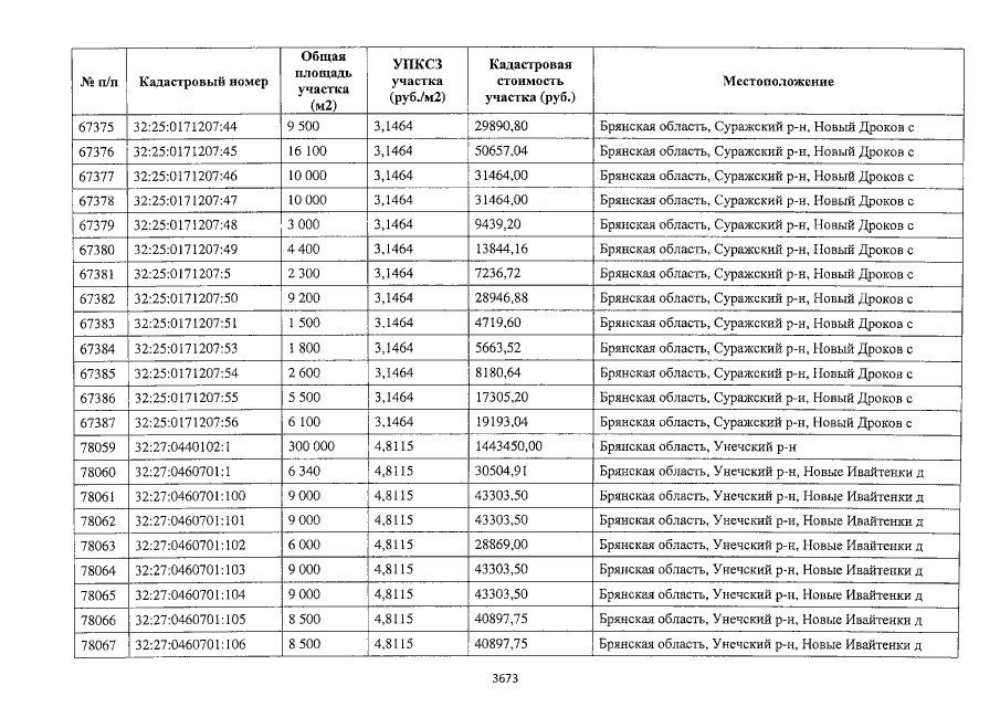
Постановление Правительства Брянской области от 07.08.2015 № 378-п
"Об утверждении кадастровой стоимости и удельных показателей кадастровой стоимости земель сельскохозяйственного назначения на территории Брянской области"
Номер опубликования: 3200201508130001
Дата опубликования: 13.08.2015
Страница №3677 из 3732:
Увеличить