Официальное опубликование правовых актов
ОФИЦИАЛЬНОЕ ОПУБЛИКОВАНИЕ
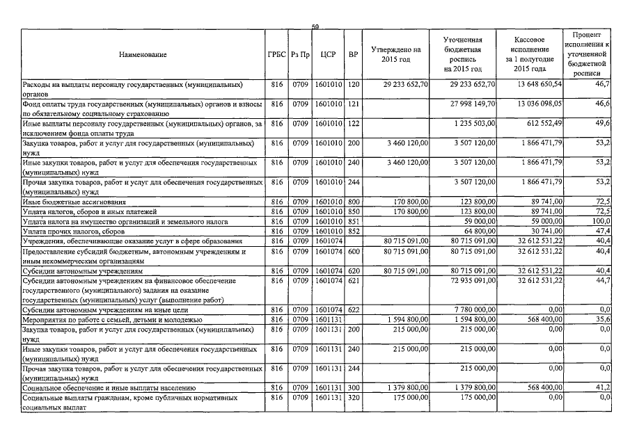
Постановление Правительства Брянской области от 07.08.2015 № 373-п
"Об утверждении отчета об исполнении областного бюджета за первое полугодие 2015 года"
Номер опубликования: 3200201508100003
Дата опубликования: 10.08.2015
Страница №87 из 322:
Увеличить