Официальное опубликование правовых актов
ОФИЦИАЛЬНОЕ ОПУБЛИКОВАНИЕ
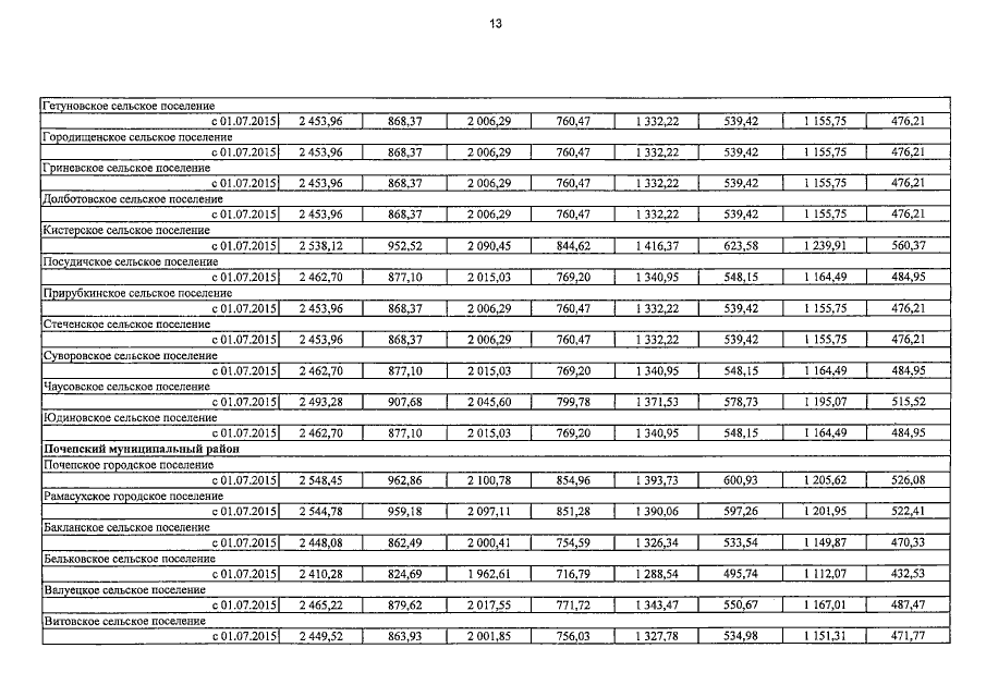
Постановление Правительства Брянской области от 24.07.2015 № 351-п
"О региональных стандартах стоимости жилищно-коммунальных услуг, используемых для расчета субсидий на оплату жилого помещения и коммунальных услуг"
Номер опубликования: 3200201507280003
Дата опубликования: 28.07.2015
Страница №51 из 56:
Увеличить