Официальное опубликование правовых актов
ОФИЦИАЛЬНОЕ ОПУБЛИКОВАНИЕ
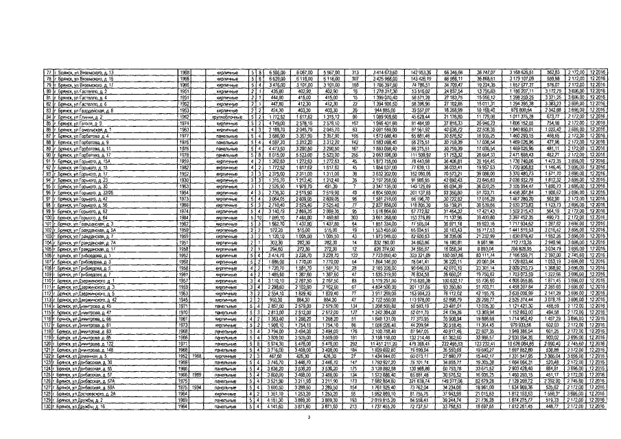
Постановление Правительства Брянской области от 05.06.2015 № 260-п
"Об утверждении краткосрочного (2015 год) плана реализации региональной программы "Проведение капитального ремонта общего имущества многоквартирных домов на территории Брянской области" (2014 – 2043 годы)"
Номер опубликования: 3200201506080019
Дата опубликования: 08.06.2015
Страница №8 из 35:
Увеличить