Официальное опубликование правовых актов
ОФИЦИАЛЬНОЕ ОПУБЛИКОВАНИЕ
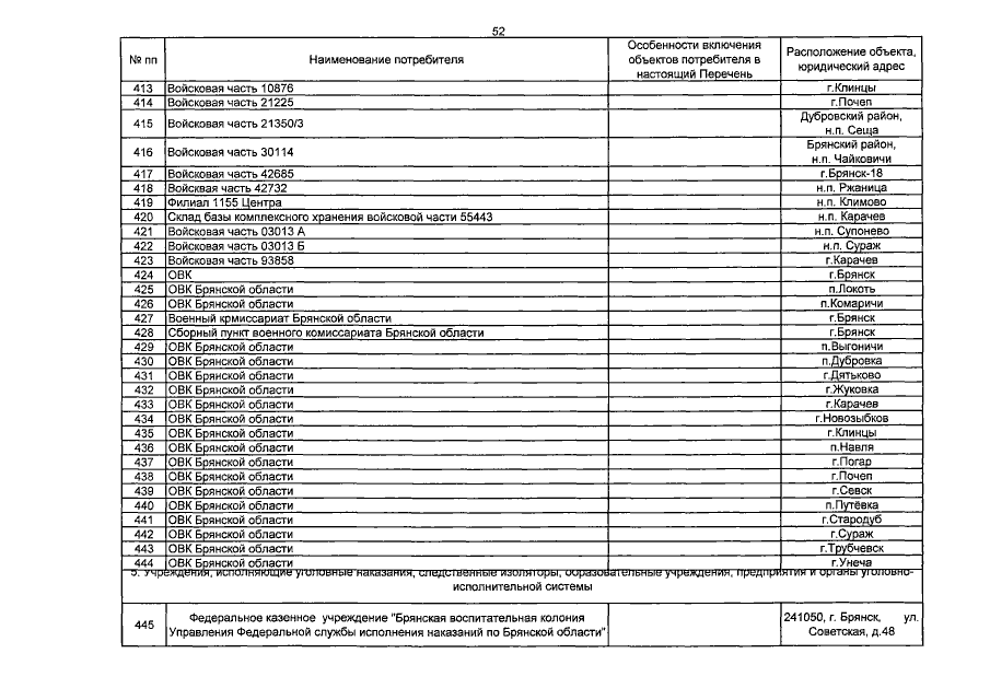
Распоряжение Губернатора Брянской области от 14.05.2015 № 414-рг
"Об утверждении перечня потребителей электрической энергии (мощности), ограничение режима потребления электрической энергии которых может привести к экономическим, экологическим, социальным последствиям на территории Брянской области"
Номер опубликования: 3200201505150005
Дата опубликования: 15.05.2015
Страница №53 из 56:
Увеличить