Официальное опубликование правовых актов
ОФИЦИАЛЬНОЕ ОПУБЛИКОВАНИЕ
Постановление Правительства Брянской области от 03.04.2015 № 133-п
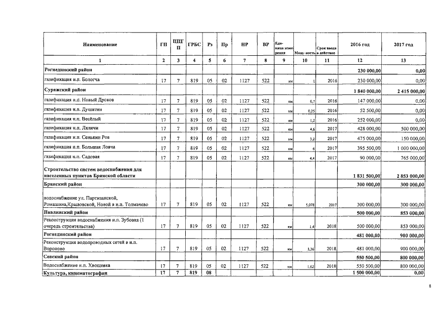
"О внесении изменений в постановление Правительства Брянской области от 29 декабря 2014 года № 678-п "Об утверждении перечней объектов бюджетных инвестиций государственной и муниципальной собственности региональной адресной инвестиционной программы на 2015 год и плановый период 2016 и 2017 годов"
Номер опубликования: 3200201504060001
Дата опубликования: 06.04.2015
Страница №72 из 78:
Увеличить