Приказ Управления по государственному регулированию цен и тарифов в Белгородской области от 23.11.2022 № 33/13
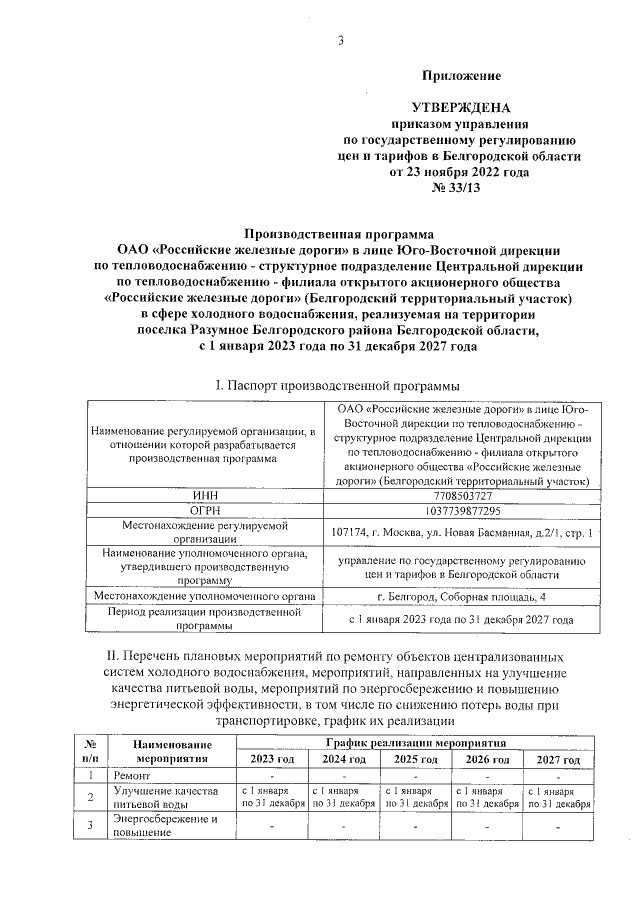
"Об утверждении производственной программы ОАО "Российские железные дороги" в лице Юго-Восточной дирекции по тепловодоснабжению - структурное подразделение Центральной дирекции по тепловодоснабжению - филиала открытого акционерного общества "Российские железные дороги" (Белгородский территориальный участок) в сфере холодного водоснабжения, реализуемой на территории поселка Разумное Белгородского района Белгородской области, с 1 января 2023 года по 31 декабря 2027 года"
"Об утверждении производственной программы ОАО "Российские железные дороги" в лице Юго-Восточной дирекции по тепловодоснабжению - структурное подразделение Центральной дирекции по тепловодоснабжению - филиала открытого акционерного общества "Российские железные дороги" (Белгородский территориальный участок) в сфере холодного водоснабжения, реализуемой на территории поселка Разумное Белгородского района Белгородской области, с 1 января 2023 года по 31 декабря 2027 года"
Номер опубликования: 3101202211290025
Дата опубликования:
29.11.2022
