Официальное опубликование правовых актов
ОФИЦИАЛЬНОЕ ОПУБЛИКОВАНИЕ
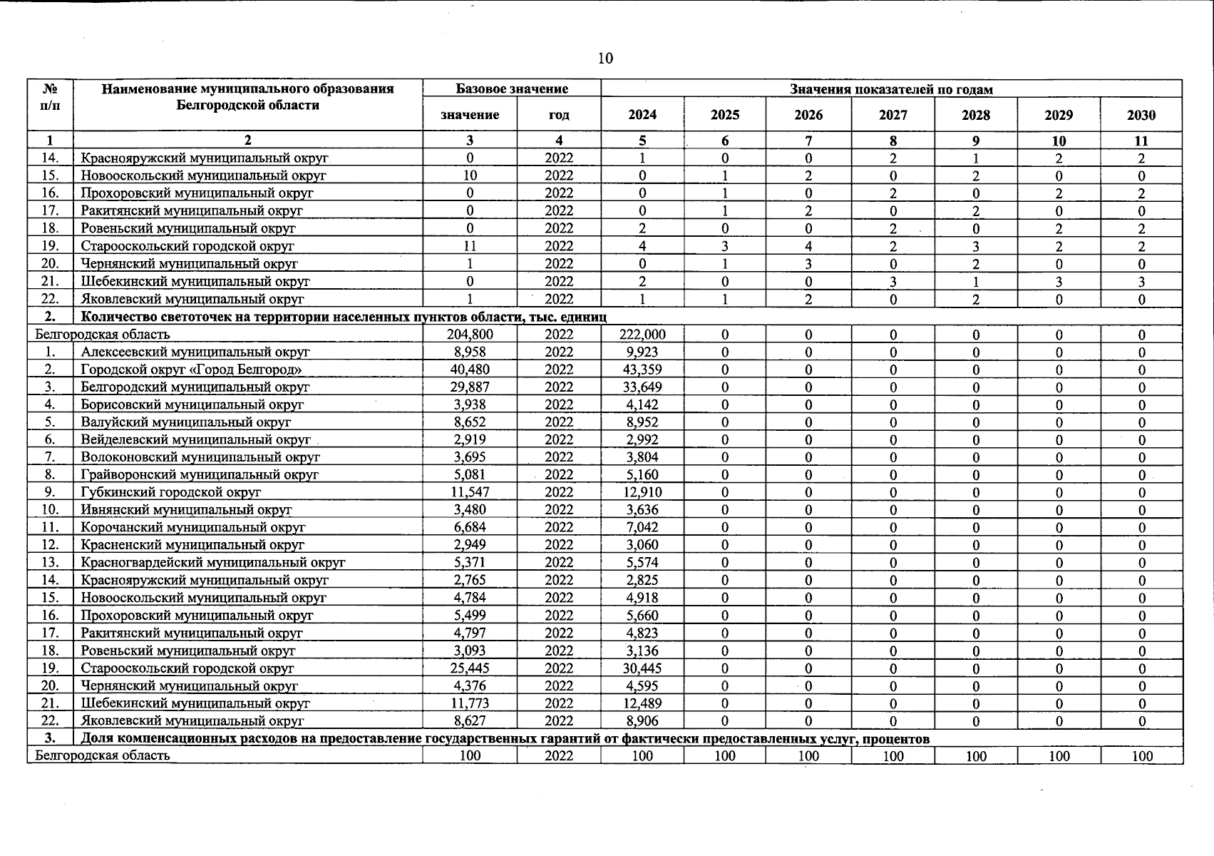
Постановление Правительства Белгородской области от 30.03.2026 № 125-пп
"О внесении изменений в постановление Правительства Белгородской области от 28 декабря 2023 года № 815-пп"
Номер опубликования: 3100202603300017
Дата опубликования: 30.03.2026
Страница №10 из 79:
Увеличить