Официальное опубликование правовых актов
ОФИЦИАЛЬНОЕ ОПУБЛИКОВАНИЕ
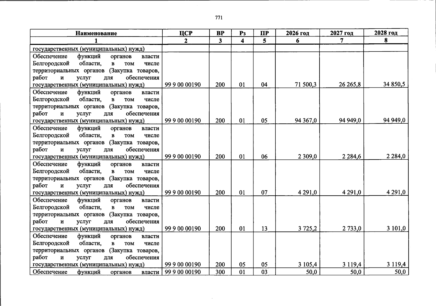
Закон Белгородской области от 24.12.2025 № 20
"Об областном бюджете на 2026 год и на плановый период 2027 и 2028 годов"
Номер опубликования: 3100202512290009
Дата опубликования: 29.12.2025
Страница №771 из 893:
Увеличить