Официальное опубликование правовых актов
ОФИЦИАЛЬНОЕ ОПУБЛИКОВАНИЕ
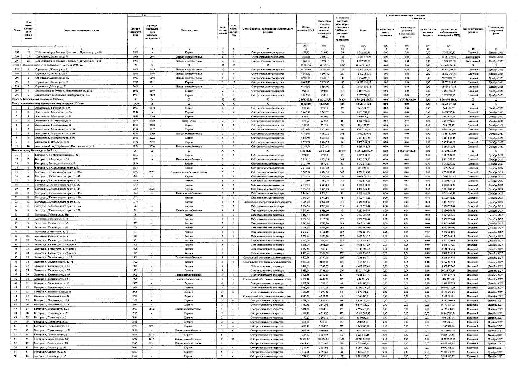
Постановление Правительства Белгородской области от 22.12.2025 № 633-пп
"О внесении изменений в постановление Правительства Белгородской области от 10 июня 2024 года № 247-пп"
Номер опубликования: 3100202512250001
Дата опубликования: 25.12.2025
Страница №11 из 27:
Увеличить