Официальное опубликование правовых актов
ОФИЦИАЛЬНОЕ ОПУБЛИКОВАНИЕ
Постановление Правительства Белгородской области от 01.12.2025 № 576-пп
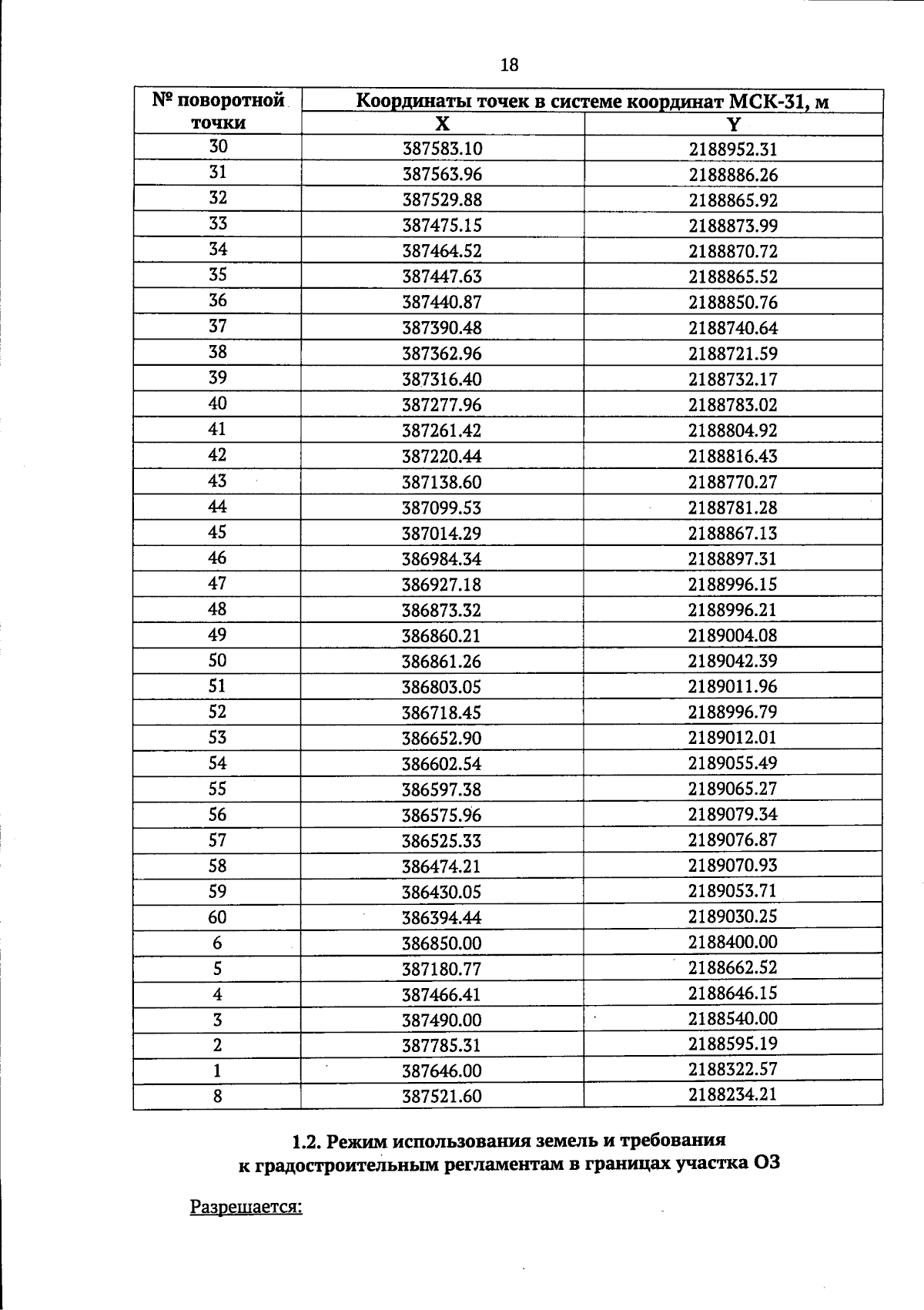
"Об утверждении границ зон охраны, режимов использования земель и требований к градостроительным регламентам в границах зон охраны объектов культурного наследия (памятников истории и культуры), расположенных на территории Волоконовского муниципального округа Белгородской области"
Номер опубликования: 3100202512020002
Дата опубликования: 02.12.2025
Страница №18 из 79:
Увеличить