Официальное опубликование правовых актов
ОФИЦИАЛЬНОЕ ОПУБЛИКОВАНИЕ
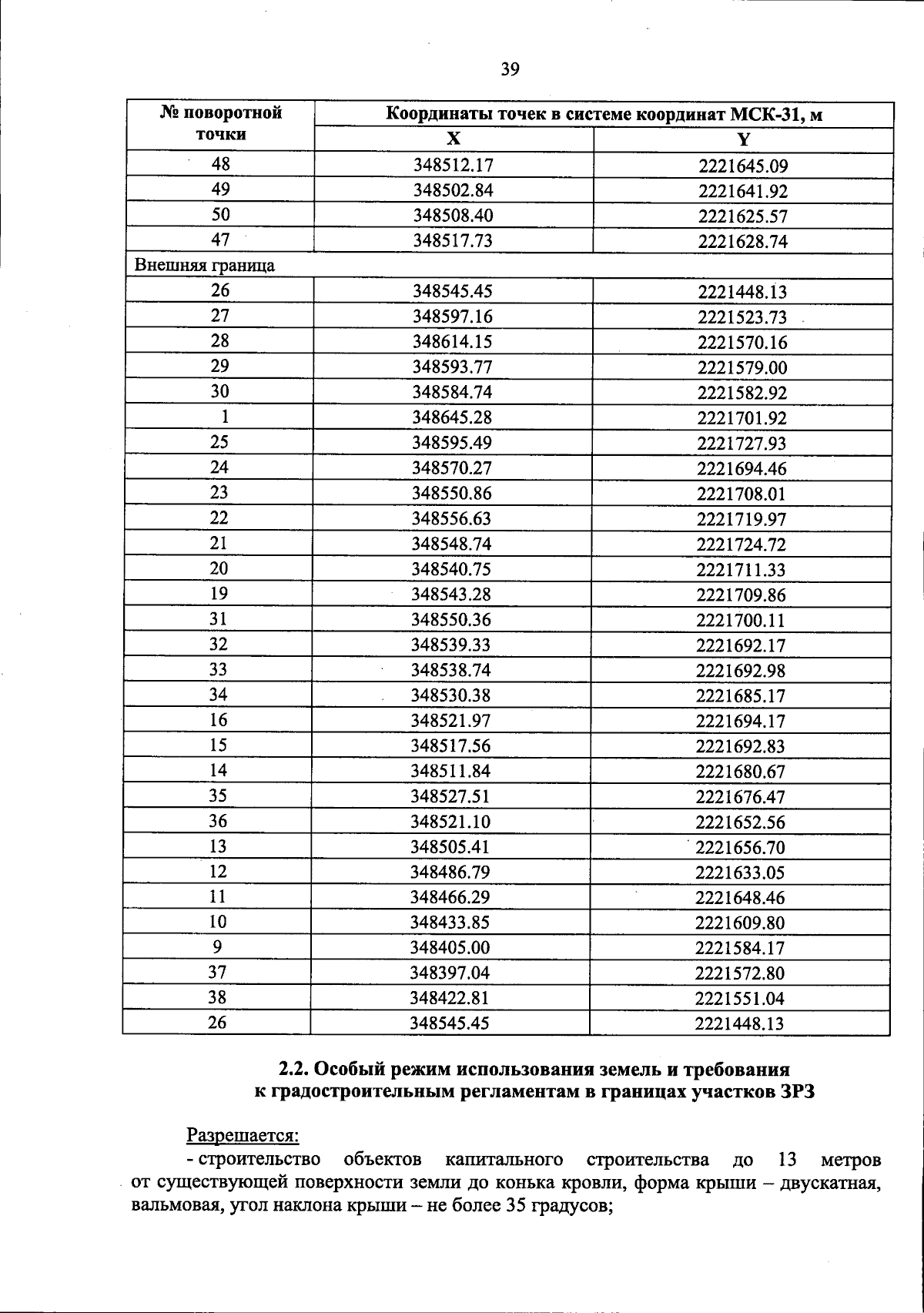
Постановление Правительства Белгородской области от 19.11.2025 № 551-пп
"Об утверждении границ зон охраны, режимов использования земель и требований к градостроительным регламентам в границах зон охраны объектов культурного наследия (памятников истории и культуры), расположенных на территории Валуйского муниципального округа Белгородской области"
Номер опубликования: 3100202511200007
Дата опубликования: 20.11.2025
Страница №39 из 113:
Увеличить