Официальное опубликование правовых актов
ОФИЦИАЛЬНОЕ ОПУБЛИКОВАНИЕ
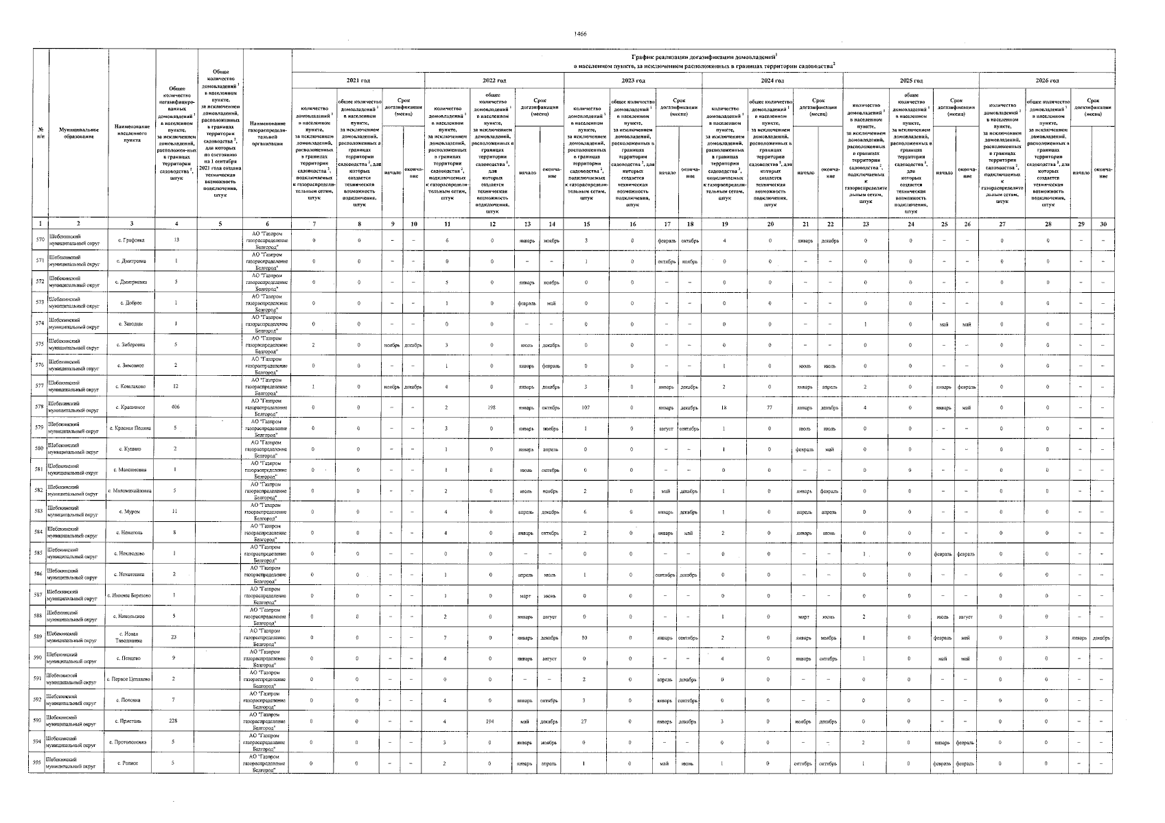
Постановление Губернатора Белгородской области от 20.08.2025 № 129
"О внесении изменений в постановление Губернатора Белгородской области от 15 декабря 2021 года № 171"
Номер опубликования: 3100202508220003
Дата опубликования: 22.08.2025
Страница №1466 из 1526:
Увеличить