Официальное опубликование правовых актов
ОФИЦИАЛЬНОЕ ОПУБЛИКОВАНИЕ
Постановление Правительства Белгородской области от 25.06.2025 № 313-пп
"О внесении изменений в постановление Правительства Белгородской области от 25 декабря 2023 года № 788-пп"
Номер опубликования: 3100202506260003
Дата опубликования: 26.06.2025
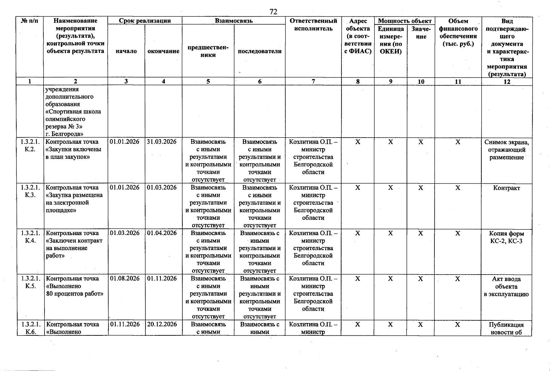
Страница №72 из 263:
Увеличить