Официальное опубликование правовых актов
ОФИЦИАЛЬНОЕ ОПУБЛИКОВАНИЕ
Постановление Правительства Белгородской области от 27.01.2025 № 28-пп
"О внесении изменений в постановление Правительства Белгородской области от 18 марта 2019 года № 114-пп"
Номер опубликования: 3100202501290003
Дата опубликования: 29.01.2025
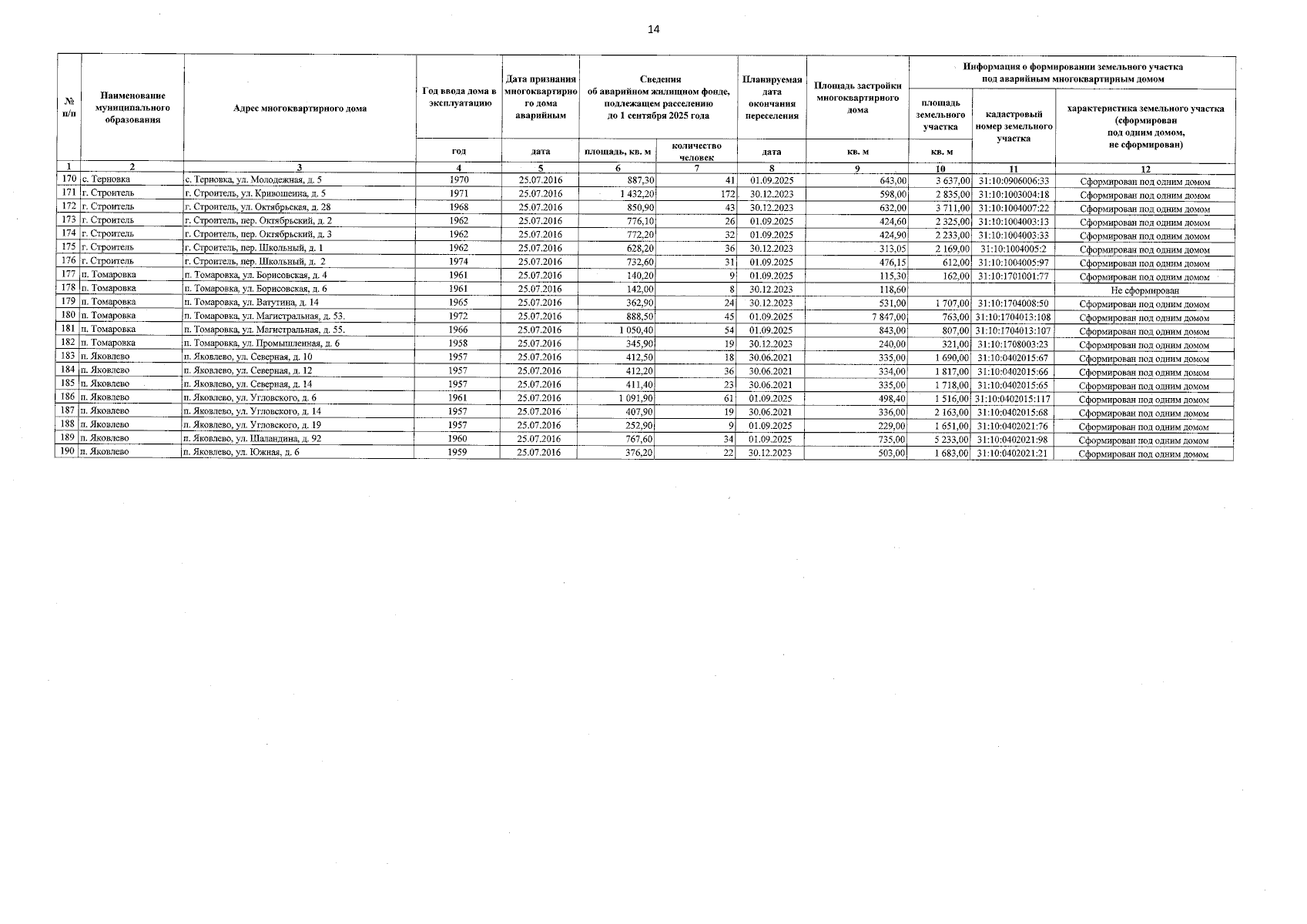
Страница №14 из 18:
Увеличить