Официальное опубликование правовых актов
ОФИЦИАЛЬНОЕ ОПУБЛИКОВАНИЕ
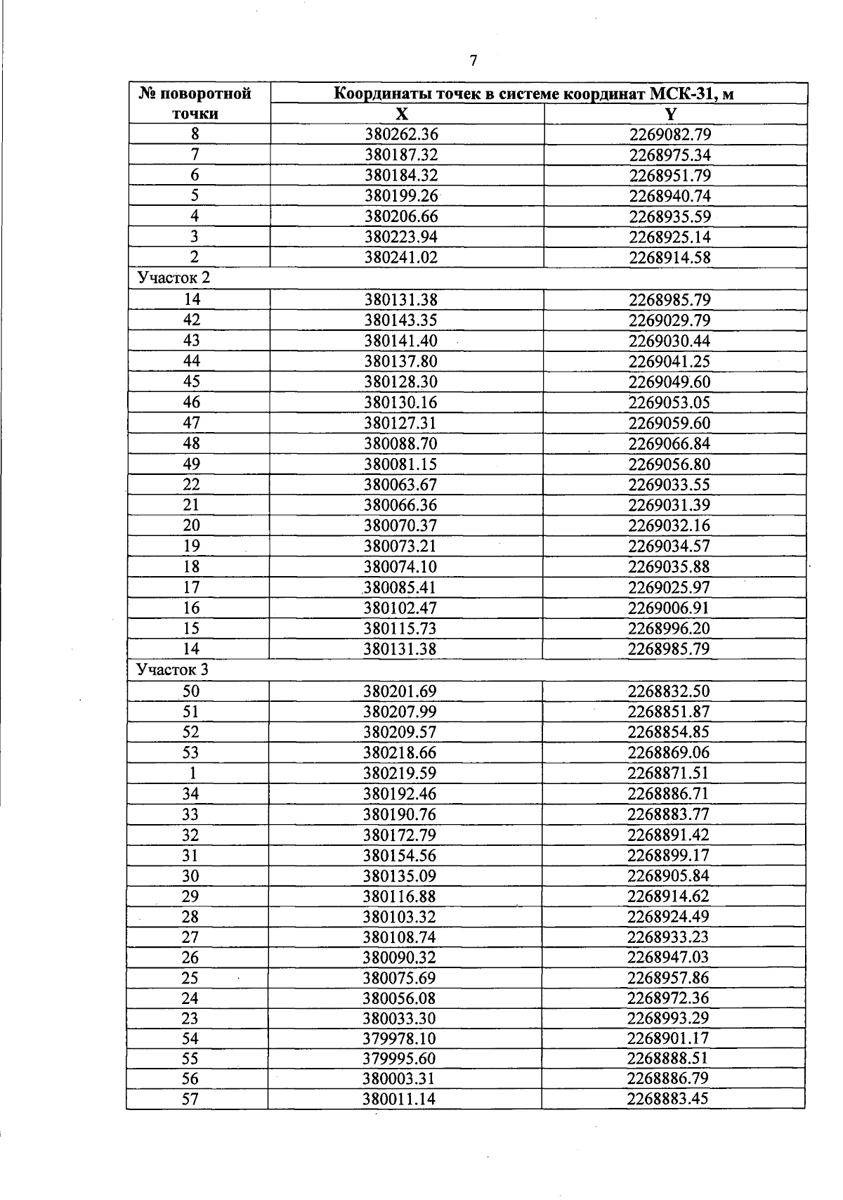
Постановление Правительства Белгородской области от 27.01.2025 № 33-пп
"Об утверждении границ зон охраны, режимов использования земель и требований к градостроительным регламентам в границах зон охраны объектов культурного наследия (памятников истории и культуры), расположенных на территории Алексеевского муниципального округа Белгородской области"
Номер опубликования: 3100202501280004
Дата опубликования: 28.01.2025
Страница №7 из 60:
Увеличить