Официальное опубликование правовых актов
ОФИЦИАЛЬНОЕ ОПУБЛИКОВАНИЕ
Постановление Правительства Белгородской области от 23.12.2024 № 647-пп
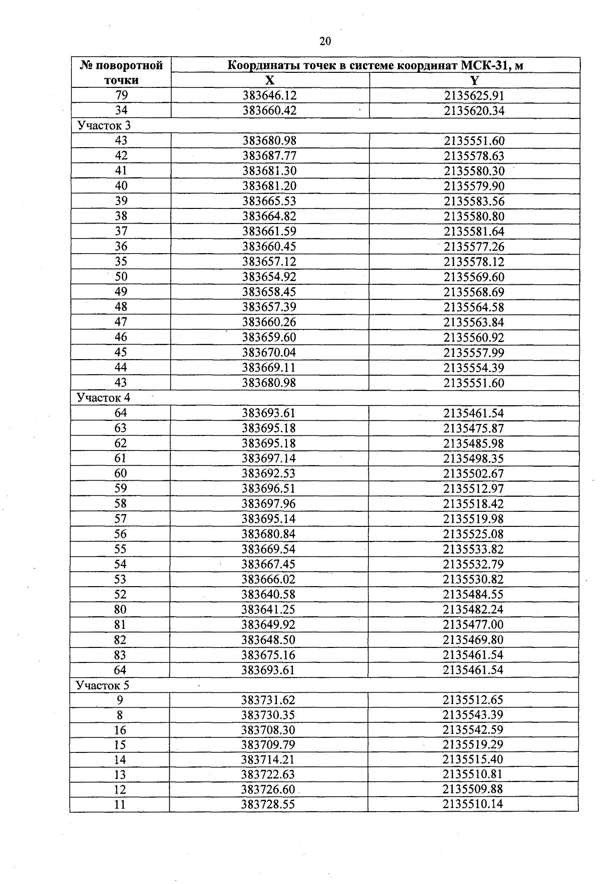
"Об утверждении границ зон охраны, режимов использования земель и требований к градостроительным регламентам в границах зон охраны объектов культурного наследия (памятников истории и культуры), расположенных на территории Шебекинского муниципального округа Белгородской области"
Номер опубликования: 3100202412260008
Дата опубликования: 26.12.2024
Страница №20 из 35:
Увеличить