Официальное опубликование правовых актов
ОФИЦИАЛЬНОЕ ОПУБЛИКОВАНИЕ
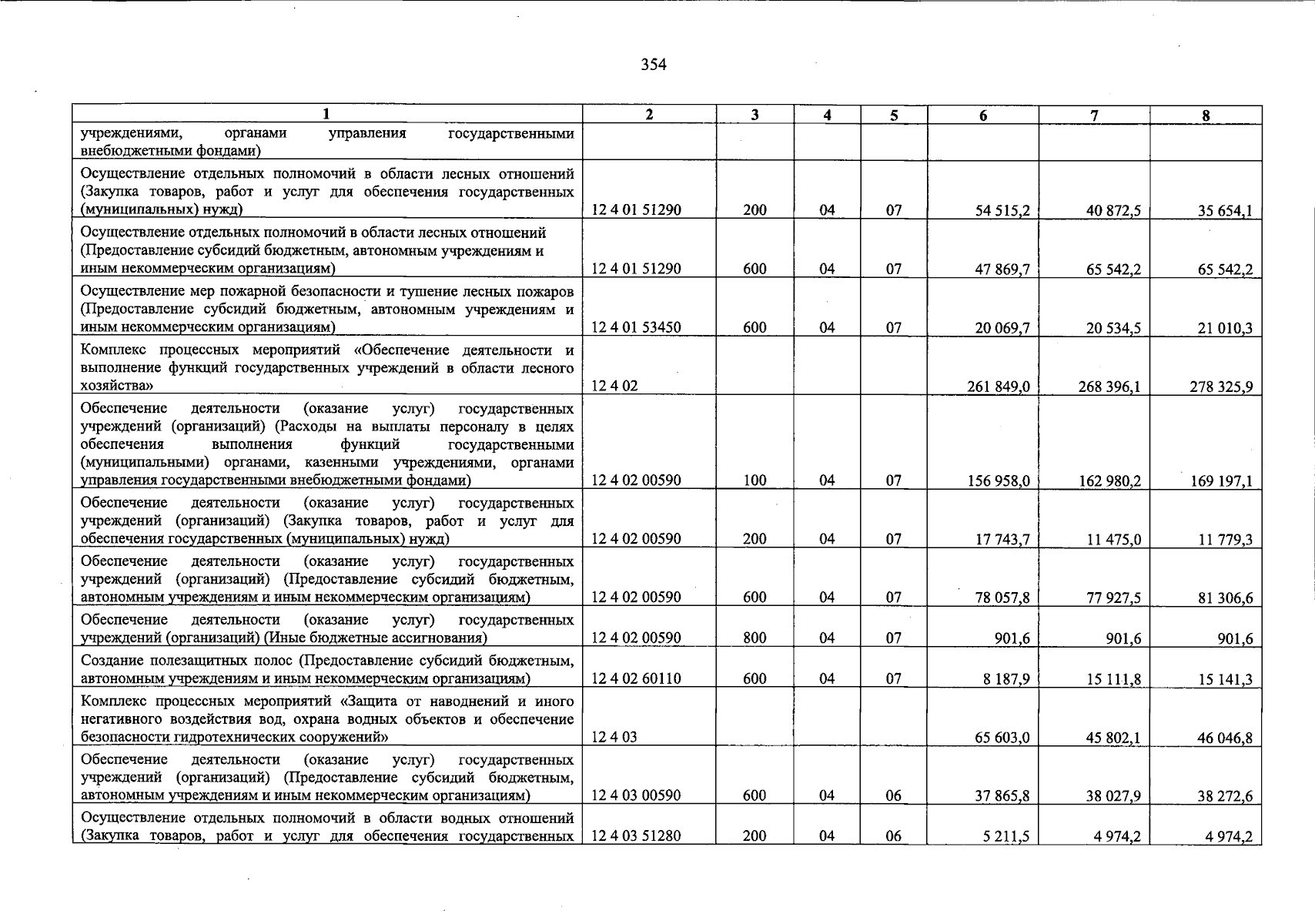
Закон Белгородской области от 23.12.2024 № 430
"Об областном бюджете на 2025 год и на плановый период 2026 и 2027 годов"
Номер опубликования: 3100202412240012
Дата опубликования: 24.12.2024
Страница №354 из 501:
Увеличить