Официальное опубликование правовых актов
ОФИЦИАЛЬНОЕ ОПУБЛИКОВАНИЕ
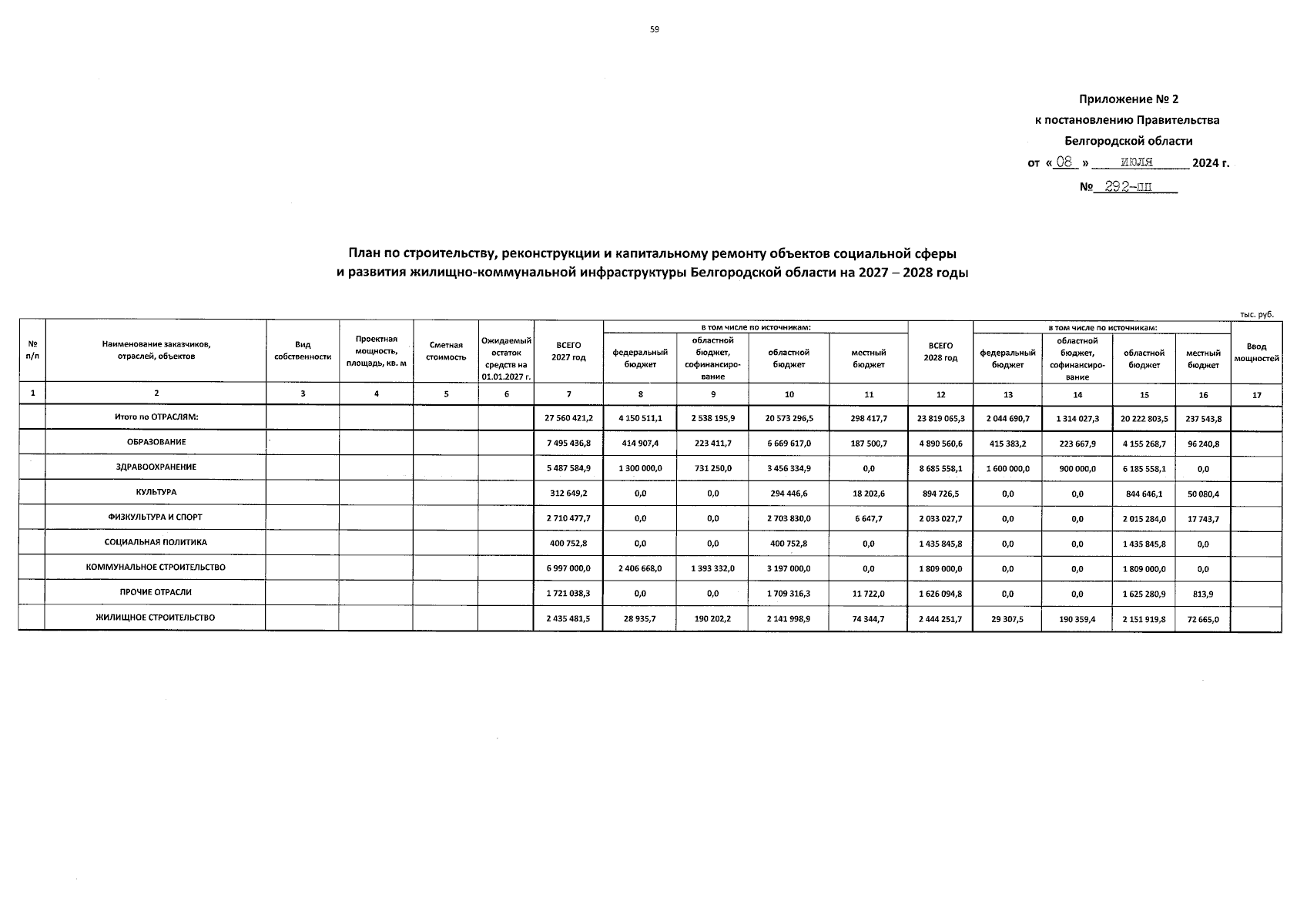
Постановление Правительства Белгородской области от 08.07.2024 № 292-пп
"О внесении изменений в постановление Правительства Белгородской области от 25 декабря 2023 года № 790-пп"
Номер опубликования: 3100202407110007
Дата опубликования: 11.07.2024
Страница №59 из 85:
Увеличить