Официальное опубликование правовых актов
ОФИЦИАЛЬНОЕ ОПУБЛИКОВАНИЕ
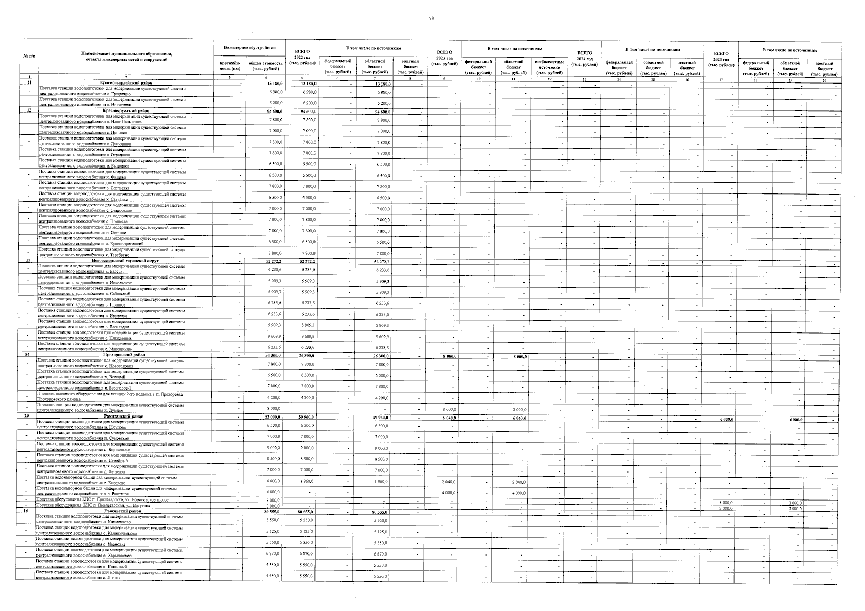
Постановление Правительства Белгородской области от 28.08.2023 № 486-пп
"О внесении изменений в постановление Правительства Белгородской области от 28 октября 2013 года № 441-пп"
Номер опубликования: 3100202308300003
Дата опубликования: 30.08.2023
Страница №79 из 101:
Увеличить