Официальное опубликование правовых актов
ОФИЦИАЛЬНОЕ ОПУБЛИКОВАНИЕ
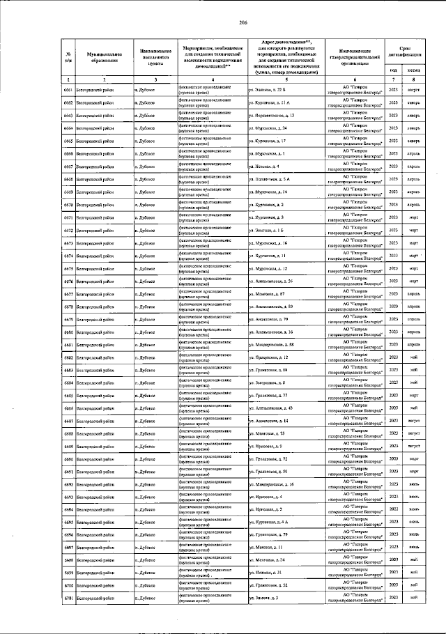
Постановление Губернатора Белгородской области от 01.08.2023 № 107
"О внесении изменений в постановление Губернатора Белгородской области от 15 декабря 2021 года № 171"
Номер опубликования: 3100202308010002
Дата опубликования: 01.08.2023
Страница №206 из 307:
Увеличить