Официальное опубликование правовых актов
ОФИЦИАЛЬНОЕ ОПУБЛИКОВАНИЕ
Постановление Правительства Белгородской области от 05.06.2023 № 297-пп
"О внесении изменений в постановление Правительства Белгородской области от 28 января 2008 года № 16-пп"
Номер опубликования: 3100202306060013
Дата опубликования: 06.06.2023
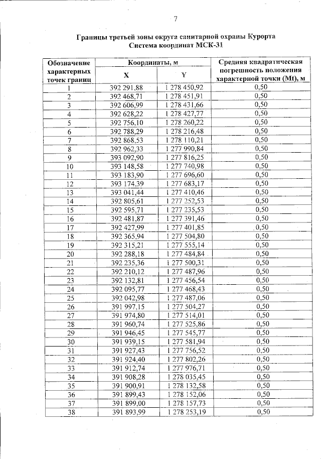
Страница №7 из 12:
Увеличить