Официальное опубликование правовых актов
ОФИЦИАЛЬНОЕ ОПУБЛИКОВАНИЕ
Постановление Правительства Белгородской области от 13.02.2023 № 74-пп
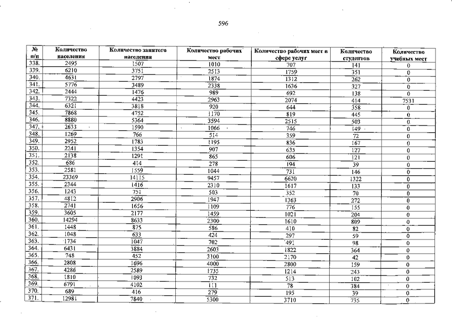
"Об утверждении Программы комплексного развития транспортной инфраструктуры Белгородской области и Комплексной схемы организации транспортного обслуживания населения общественным транспортом Белгородской области"
Номер опубликования: 3100202302150007
Дата опубликования: 15.02.2023
Страница №596 из 700:
Увеличить