Официальное опубликование правовых актов
ОФИЦИАЛЬНОЕ ОПУБЛИКОВАНИЕ
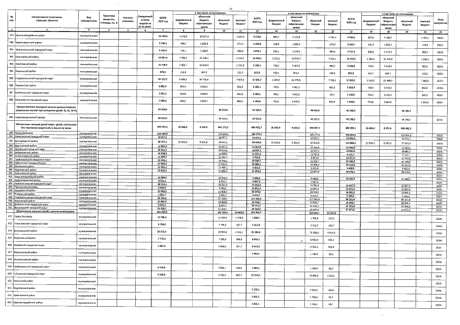
Постановление Правительства Белгородской области от 26.01.2023 № 36-пп
"О внесении изменений в постановление Правительства Белгородской области от 26 декабря 2022 года № 794-пп"
Номер опубликования: 3100202301270007
Дата опубликования: 27.01.2023
Страница №22 из 24:
Увеличить