Официальное опубликование правовых актов
ОФИЦИАЛЬНОЕ ОПУБЛИКОВАНИЕ
Постановление Правительства Белгородской области от 19.12.2022 № 766-пп
"О внесении изменений в постановление Правительства Белгородской области от 13 декабря 2021 года № 605-пп"
Номер опубликования: 3100202212260014
Дата опубликования: 26.12.2022
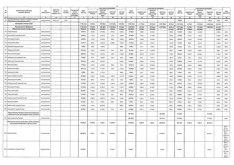
Страница №38 из 42:
Увеличить