Официальное опубликование правовых актов
ОФИЦИАЛЬНОЕ ОПУБЛИКОВАНИЕ
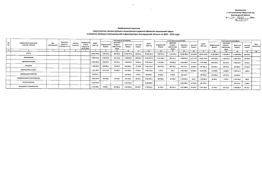
Постановление Правительства Белгородской области от 18.07.2022 № 440-пп
"О внесении изменений в постановление Правительства Белгородской области от 13 декабря 2021 года № 605-пп"
Номер опубликования: 3100202207250004
Дата опубликования: 25.07.2022
Страница №2 из 41:
Увеличить