Официальное опубликование правовых актов
ОФИЦИАЛЬНОЕ ОПУБЛИКОВАНИЕ
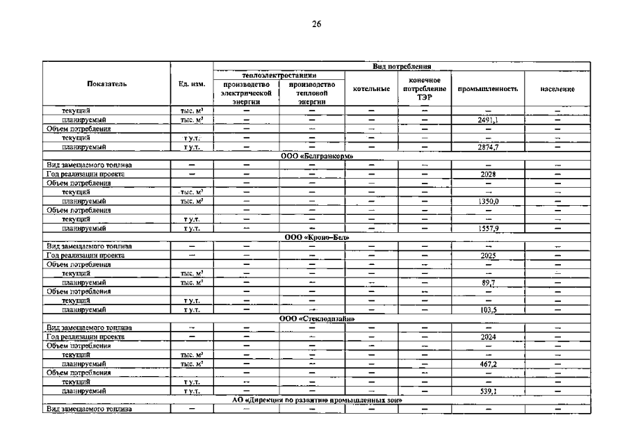
Постановление Губернатора Белгородской области от 08.04.2022 № 56
"Об утверждении целевого прогнозного топливно-энергетического баланса Белгородской области на период до 2025 года с оценкой до 2030 года"
Номер опубликования: 3100202204110006
Дата опубликования: 11.04.2022
Страница №26 из 124:
Увеличить