Официальное опубликование правовых актов
ОФИЦИАЛЬНОЕ ОПУБЛИКОВАНИЕ
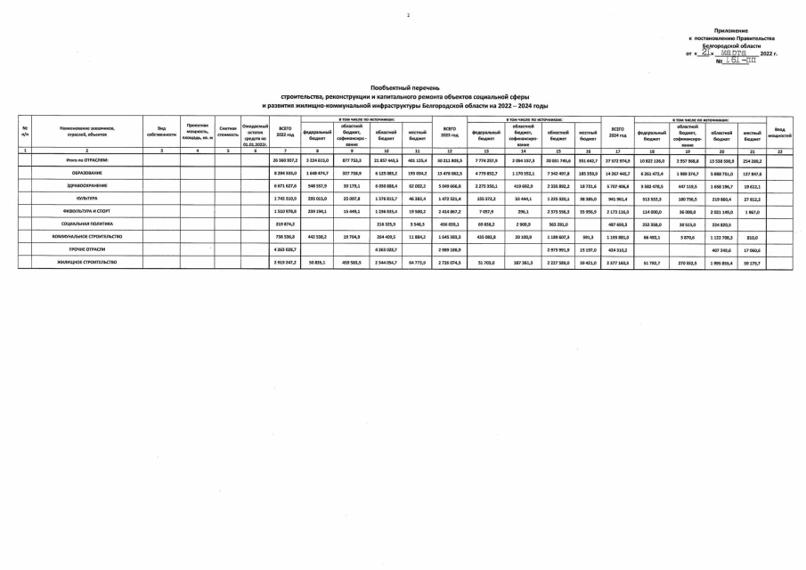
Постановление Правительства Белгородской области от 21.03.2022 № 161-пп
"О внесении изменений в постановление Правительства Белгородской области от 13 декабря 2021 года № 605-пп"
Номер опубликования: 3100202203250001
Дата опубликования: 25.03.2022
Страница №2 из 40:
Увеличить