Официальное опубликование правовых актов
ОФИЦИАЛЬНОЕ ОПУБЛИКОВАНИЕ
Постановление Правительства Белгородской области от 28.02.2022 № 107-пп
"О внесении изменений в постановление Правительства Белгородской области от 18 марта 2019 года № 114-пп"
Номер опубликования: 3100202203030005
Дата опубликования: 03.03.2022
Страница №19 из 26:
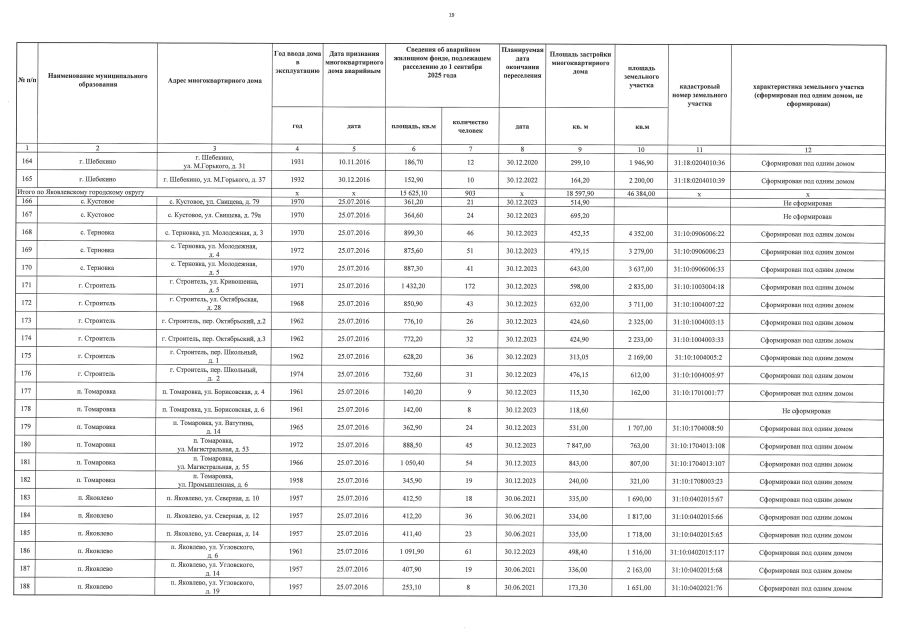
Увеличить