Официальное опубликование правовых актов
ОФИЦИАЛЬНОЕ ОПУБЛИКОВАНИЕ
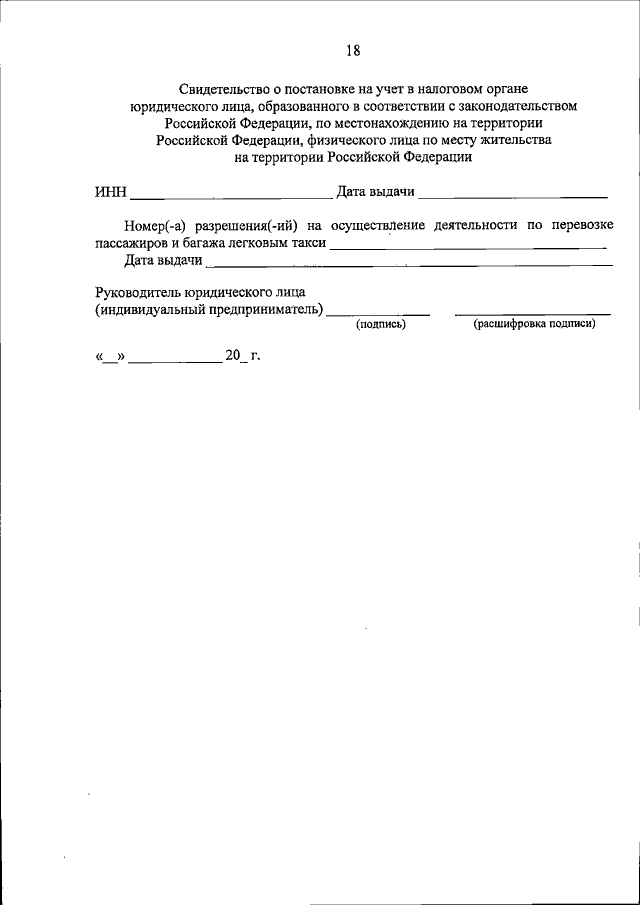
Постановление Правительства Белгородской области от 31.01.2022 № 38-пп
"О внесении изменений в некоторые постановления Правительства Белгородской области"
Номер опубликования: 3100202201310020
Дата опубликования: 31.01.2022
Страница №18 из 22:
Увеличить