Официальное опубликование правовых актов
ОФИЦИАЛЬНОЕ ОПУБЛИКОВАНИЕ
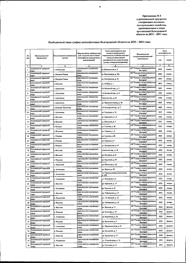
Постановление Губернатора Белгородской области от 15.12.2021 № 171
"Об утверждении региональной программы газификации жилищно-коммунального хозяйства, промышленных и иных организаций Белгородской области на 2022 – 2031 годы"
Номер опубликования: 3100202112160001
Дата опубликования: 16.12.2021
Страница №76 из 111:
Увеличить