Официальное опубликование правовых актов
ОФИЦИАЛЬНОЕ ОПУБЛИКОВАНИЕ
Постановление Правительства Белгородской области от 18.10.2021 № 478-пп
"О внесении изменений в постановление Правительства Белгородской области от 28 октября 2013 года № 441-пп"
Номер опубликования: 3100202110260002
Дата опубликования: 26.10.2021
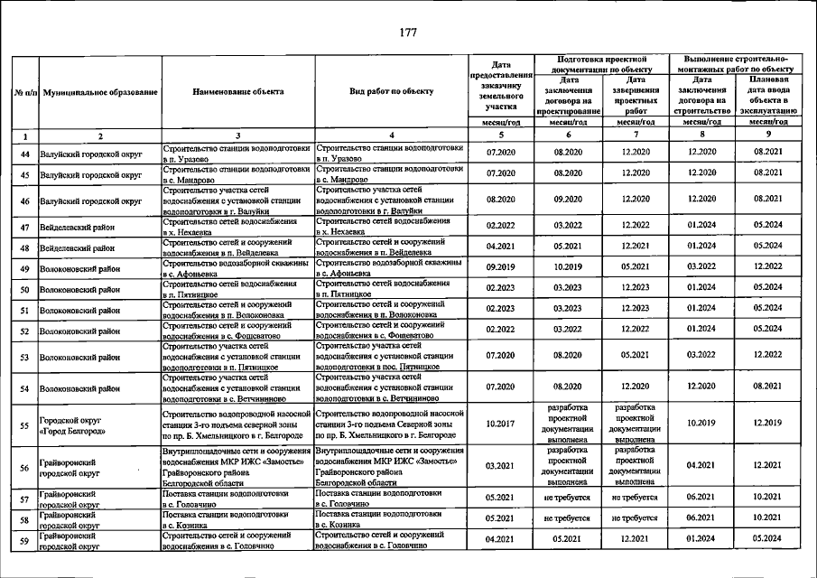
Страница №177 из 225:
Увеличить