Официальное опубликование правовых актов
ОФИЦИАЛЬНОЕ ОПУБЛИКОВАНИЕ
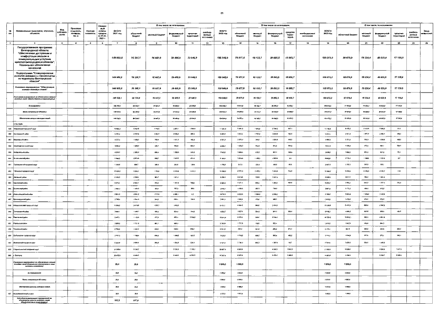
Постановление Правительства Белгородской области от 23.08.2021 № 357-пп
"О внесении изменений в постановление Правительства Белгородской области от 21 декабря 2020 года № 568-пп"
Номер опубликования: 3100202108270001
Дата опубликования: 27.08.2021
Страница №66 из 68:
Увеличить