Официальное опубликование правовых актов
ОФИЦИАЛЬНОЕ ОПУБЛИКОВАНИЕ
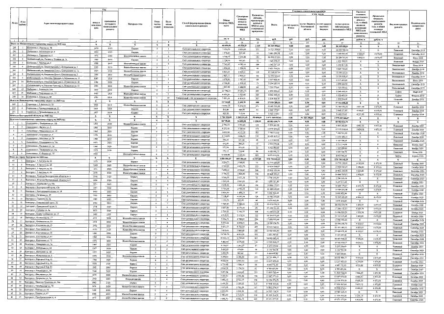
Постановление Правительства Белгородской области от 05.07.2021 № 253-пп
"О внесении изменений в постановление Правительства Белгородской области от 18 июня 2018 года № 225-пп"
Номер опубликования: 3100202107060003
Дата опубликования: 06.07.2021
Страница №6 из 25:
Увеличить