Официальное опубликование правовых актов
ОФИЦИАЛЬНОЕ ОПУБЛИКОВАНИЕ
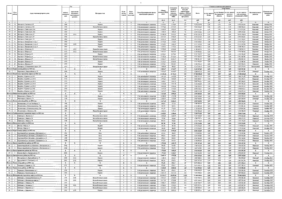
Постановление Правительства Белгородской области от 31.05.2021 № 194-пп
"Об утверждении плана реализации в 2022 – 2024 годах адресной программы проведения капитального ремонта общего имущества в многоквартирных домах в Белгородской области на 2019 – 2048 годы"
Номер опубликования: 3100202106010008
Дата опубликования: 01.06.2021
Страница №5 из 8:
Увеличить