Официальное опубликование правовых актов
ОФИЦИАЛЬНОЕ ОПУБЛИКОВАНИЕ
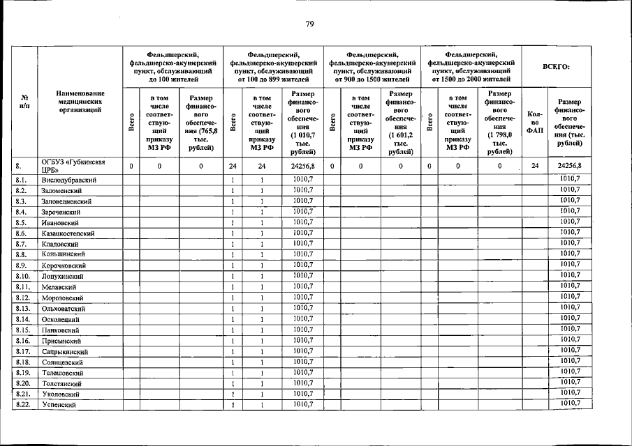
Постановление Правительства Белгородской области от 11.01.2021 № 5-пп
"О территориальной программе государственных гарантий бесплатного оказания жителям Белгородской области медицинской помощи на 2021 год и на плановый период 2022 и 2023 годов"
Номер опубликования: 3100202101150001
Дата опубликования: 15.01.2021
Страница №79 из 536:
Увеличить